

이번에도 가우스 법칙을 사용해서 문제를 풀면 된다. 가우스 법칙에 대해 알고 싶다면 아래의 포스팅을 참고하면 된다.
일반물리학 문제풀이(전기선속과 가우스법칙) -2
문제 개념가우스 법칙 : 대칭성이 있는 가상의 폐곡면(예를 들어 구, 원통 등)을 전하를 중심으로 둘러싸서 그린 다음 내부에 있는 전하에 의해 만들어진 전기선속을 계산하는 수학적 방법. 이
honeyphysics.tistory.com
먼저 (a)번을 푸는데 도움이 될 아래의 그림을 참고해 보자.

문제에서 제시한 대로 구의 중심으로부터 1.5m 떨어진 점들을 이어 가상의 구를 그려본다.(가우스면) 그러면 가우스면의 표면을 통과하는 전기력선이 존재함을 알 수 있다. 가우스면 내부에 있는 전하에 의해 만들어진 전기장에 의해 만들어지는 전기선속이 있다. 그렇다면 전기선속을 구하는데 유용한 가우스법칙을 사용해 문제를 풀어보자. 가우스법칙을 통해 전기장 E = q/Aε임을 알 수 있다.
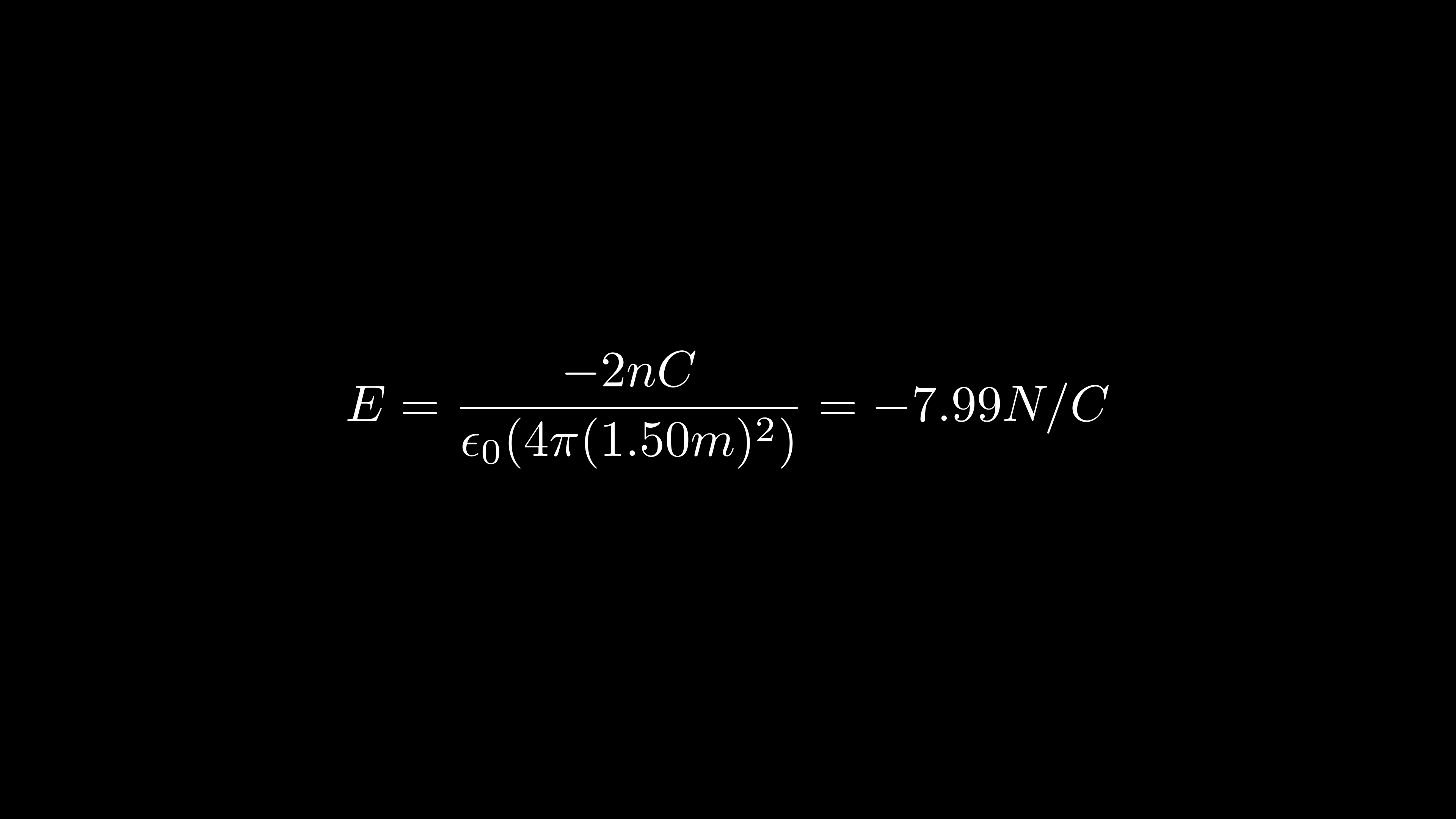
따라서 r = 1.5m인 구의 표면에서 전기장의 세기는 아래와 같다.

방향은 구의 중심으로 들어가는 방향이다.(inward)
다음은 (b) 번이다. r = 2.20m일 때 가우스면은 도체 구 껍질 내부에 형성되기 때문에 전기장 E = 0이 된다. 도체 내부에 전기장이 0인 이유는 정전평형상태의 원칙 때문이다. 정전평형상태란 도체 내부에 전하의 알짜운동이 0인 상태를 의미하는데, 도체 내부에 전기장이 형성된다면 전하의 알짜운동이 발생하여 정전평형상태가 깨지기 때문이다. 따라서 도체의 전하는 도체 표면에만 존재한다.
다음으로 (c) 번을 풀 차례다. r = 2.50m의 경우 구 껍질 바깥에 가우스면이 형성된다. 그렇다면 가우스면의 표면을 아래와 같은 모습으로 전기력선이 통과한다.

구 바깥에는 구 바깥 표면의 전하가 구의 중심에 있는 것과 같은 크기의 전기장이 형성된다. 이번에도 (a) 번과 같은 방법으로 풀면 된다.

그렇다면 마지막으로 (d) 번만 풀면 된다. 구 껍질의 전하 분포는 구의 중심에 가까운 안쪽 표면은 중심에 있는 전하에 의해 중심에 있는 전하와 크기가 같고 부호가 반대인 전하가 유도된다. 따라서 +2.00nC의 전하가 구 껍질 안쪽 표면에 형성되고 이에 따라 남은 1.00nC의 전하가 바깥 표면에 남게 된다. 이를 그림으로 표현하면 아래와 같다.

가우스 법칙을 어떻게 사용해야 하는지 요령을 알면 풀 수 있는 문제라고 생각한다.
| 일반물리학 문제풀이(종합문제) (0) | 2024.11.13 |
|---|---|
| 일반물리학 문제풀이(전기선속과 가우스법칙) -2 (0) | 2024.11.04 |
| 일반물리학 문제풀이(전기선속과 가우스의 법칙) (0) | 2024.11.01 |
| 일반물리학 문제풀이(전기장) -4 (0) | 2024.08.04 |
| 일반물리학 문제풀이(전기장) - 3 (0) | 2024.08.02 |
댓글 영역