
20m/s로 운행하던 기차가
-1.0m/s²의 가속도로 감속했다면
40초 뒤에 기차는 얼마만큼 이동했느냐를
묻는 문제입니다.
그럼 문제에서 이야기한
상황을 그래프로 표현해 볼까요?

보시는 바와 같이
20m/s의 속도로 운행하던
기차가 -1.0m/s²으로
감속했기 때문에 결국 40초가 되기 전에
속도가 0이 되어 멈추고
반대방향으로 역주행하게 됩니다.
기차가 역주행하는 경우는 생각하지 않는다면
처음 속도가 20m/s일 때부터
속도가 0m/s일 때까지 간 거리만
이동거리로 보면 됩니다.
그러면 계산해 볼까요?

일차원 등가속도 운동에서
속도를 구하는 공식을 이용하면 속도가 0이 될 때
시간을 구할 수 있습니다.
그렇다면 t = 20s가 된다는 것을
쉽게 알 수 있습니다.
그렇다면 t = 0s부터 t = 20s까지
기차가 이동한 거리를
구해봅시다.

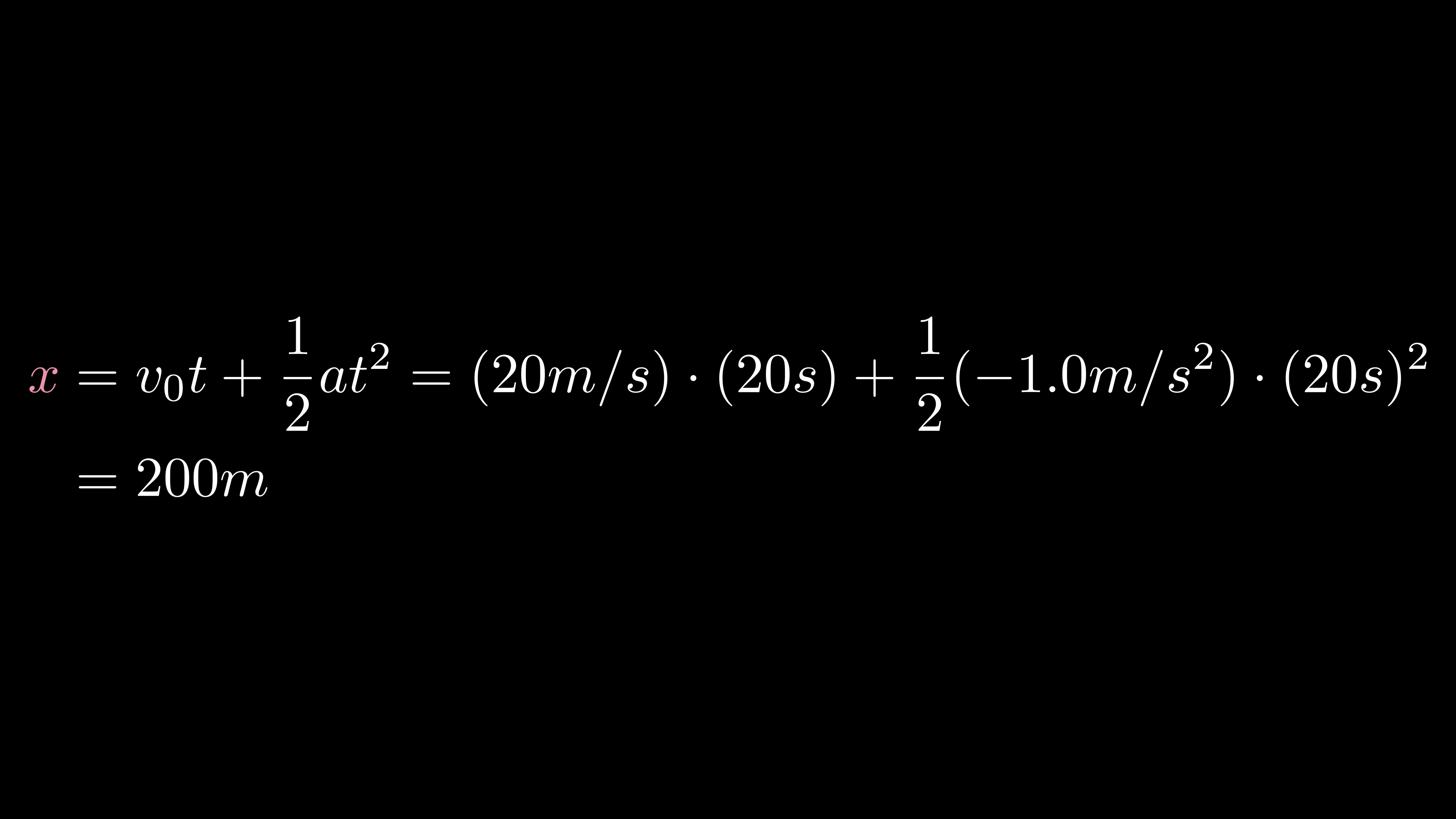
일차원 등가속도 운동의
변위를 구하는 공식을 사용하면
이동거리를 쉽게 구할 수 있습니다.
기차가 감속한 뒤 이동한 거리는
200m가 됩니다.
일차원 등가속도 운동의 개념을 알고 있다면 쉽게 풀 수 있는 문제다.
| 일반물리학 문제풀이 (쿨롱의 법칙) (0) | 2023.10.31 |
|---|---|
| 일반물리학 문제풀이(일차원 등가속도 운동)3 (0) | 2023.05.21 |
| 일반물리학 문제풀이(일차원 운동 - 가속도) (0) | 2023.05.21 |
| 일반물리학 문제풀이(일차원 운동 - 속도)3 (0) | 2023.05.20 |
| 일반물리학 문제풀이(일차원 운동 - 속도)2 (0) | 2023.05.20 |
댓글 영역