
프리덤 우주정거장에 반지름을 무시할만한 두 개의 금속 구 A와 B가 두 개의 금속 칸막이 사이에서 떠서 정지해 있다. A와 B는 길이 2.00m의 팽팽한 비전도성 실에 의해 연결되어 있다. 구 A의 전하량은 q이고 구 B의 전하량은 2q이다. 각각의 금속 구는 칸막이와 1.00m 떨어져 있다.
(a) 줄의 장력이 2.50N일 때, q의 크기는 얼마인가? (b) 시간이 지나면서 어떤 일이 일어나는가? 설명해라

문제의 상황을 그림으로 표현한 것이다.
반지름을 무시할수 있다는 말은
두 금속 구가 점전하라는 의미로 풀이된다.
따라서 두 점전하 A와 B가 2.00m 떨어져 있고
둘 사이에는 비전도체 실이 팽팽하게 연결되어 있는 상황이다.
그렇다면 두 점전하 A와 B는 서로 같은 양전하이기 때문에
척력이 작용하여 서로를 밀어내고 있지만
연결되어 있는 줄의 장력에 의해 2.00m의
거리를 유지하고 있다고 볼 수 있다.
그렇다면 줄의 장력과 두 점전하 사이의 척력이
힘의 평형을 이루고 있다는 의미가 되고
두 힘이 평형을 이루고 있다면 두 힘의 크기가 같다는
의미가 되어 전하의 크기를 구할 수 있게 된다.
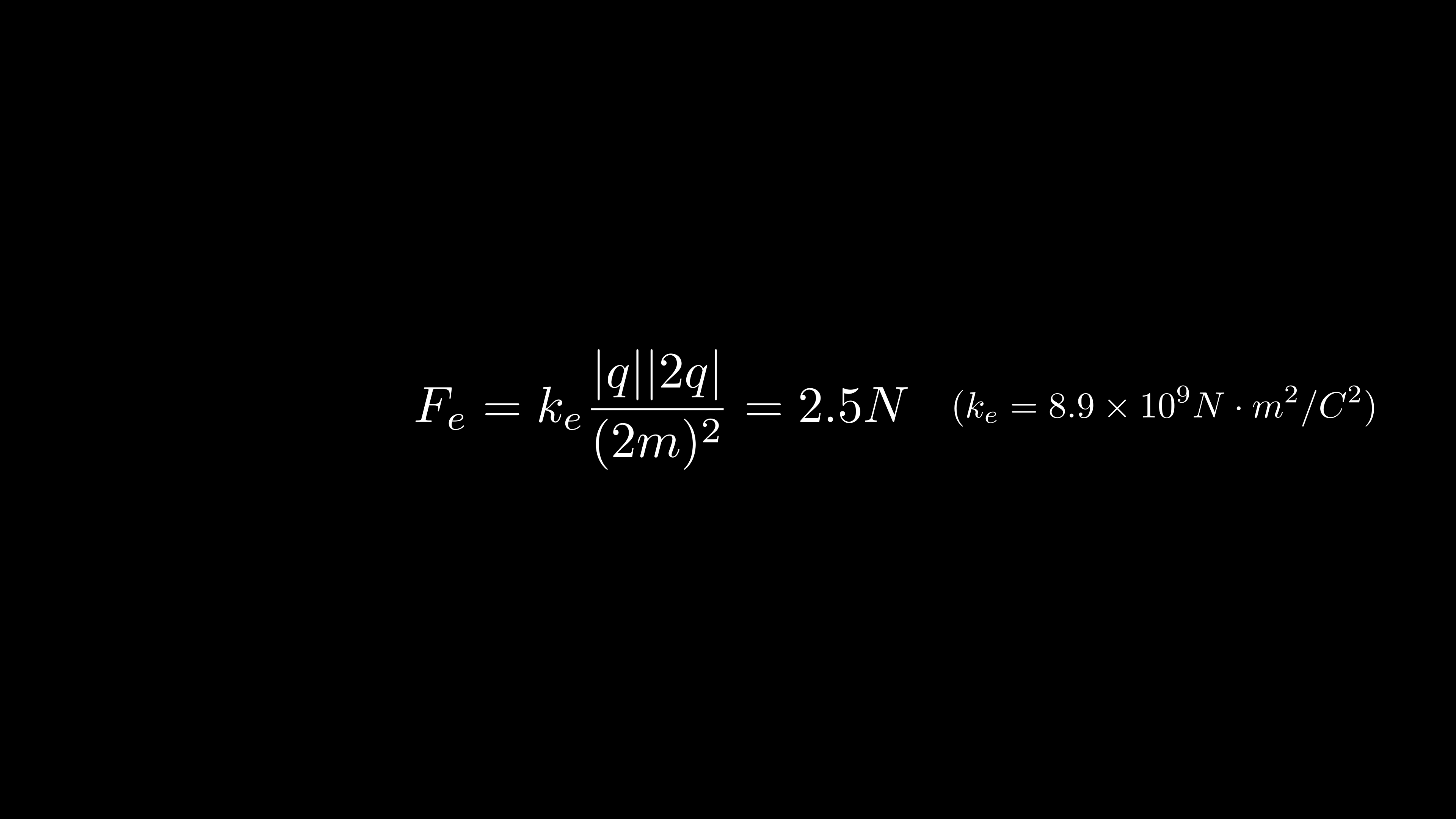
따라서 아래와 같은 식이 성립한다.

위 식을 풀면 아래와 같이 (a)번의 정답을 얻을 수 있다.

다음은 (b)번을 풀이해줄 차례이다.
먼저 문제 상황을 전기력의 관점에서 바라보려고 한다.

두 점전하는 서로 척력이 작용함과 동시에
양 금속막대에 전하를 유도하고 있다.
따라서 양 금속막대와 두 전하는 서로 인력이 작용하고 있다.
위에 그림에서 보는 바와 같이 공 B의 2q의 전하에 의한
전기력선이 A에 비해 더 많으므로
양 금속막대가 동일한 물질이라면
공 B에 의한 인력이 더 강할 것이다.
(전기력선의 숫자는 전하의 크기에 비례한다는 사실을 알고 있을 것이다.)
따라서 공 A와 공B 그리고 이 둘을 잇는 줄은
점점 오른쪽 금속 막대 쪽으로 아래와 같이 움직이게 될 것이다.
(b) 위 그림처럼 전체 물리계는 공B쪽으로 움직이게 될 것이다.
| 일반물리학 문제풀이(쿨롱의 법칙) - 2 (0) | 2023.11.16 |
|---|---|
| 일반물리학 문제풀이 (전기력과 전기장) (0) | 2023.11.12 |
| 일반물리학 문제풀이(일차원 등가속도 운동)3 (0) | 2023.05.21 |
| 일반물리학 문제풀이(일차원 등가속도 운동)2 (0) | 2023.05.21 |
| 일반물리학 문제풀이(일차원 운동 - 가속도) (0) | 2023.05.21 |
댓글 영역