

자동차가 55mi/h의 속력으로
움직이고 있는 상황에서 0.6m/s²으로 가속한다면
60mi/h에 도달하는 시간은 얼마나 될까를
묻는 문제입니다.
등가속도 운동의 속도를 구하는
공식으로 시간을 구할 수 있겠네요.

일차원 등가속도 운동에서
속도를 구하는 식입니다.
이 식에서 t만 좌변에 남겨주면
시간 t를 구할 수 있게 됩니다.

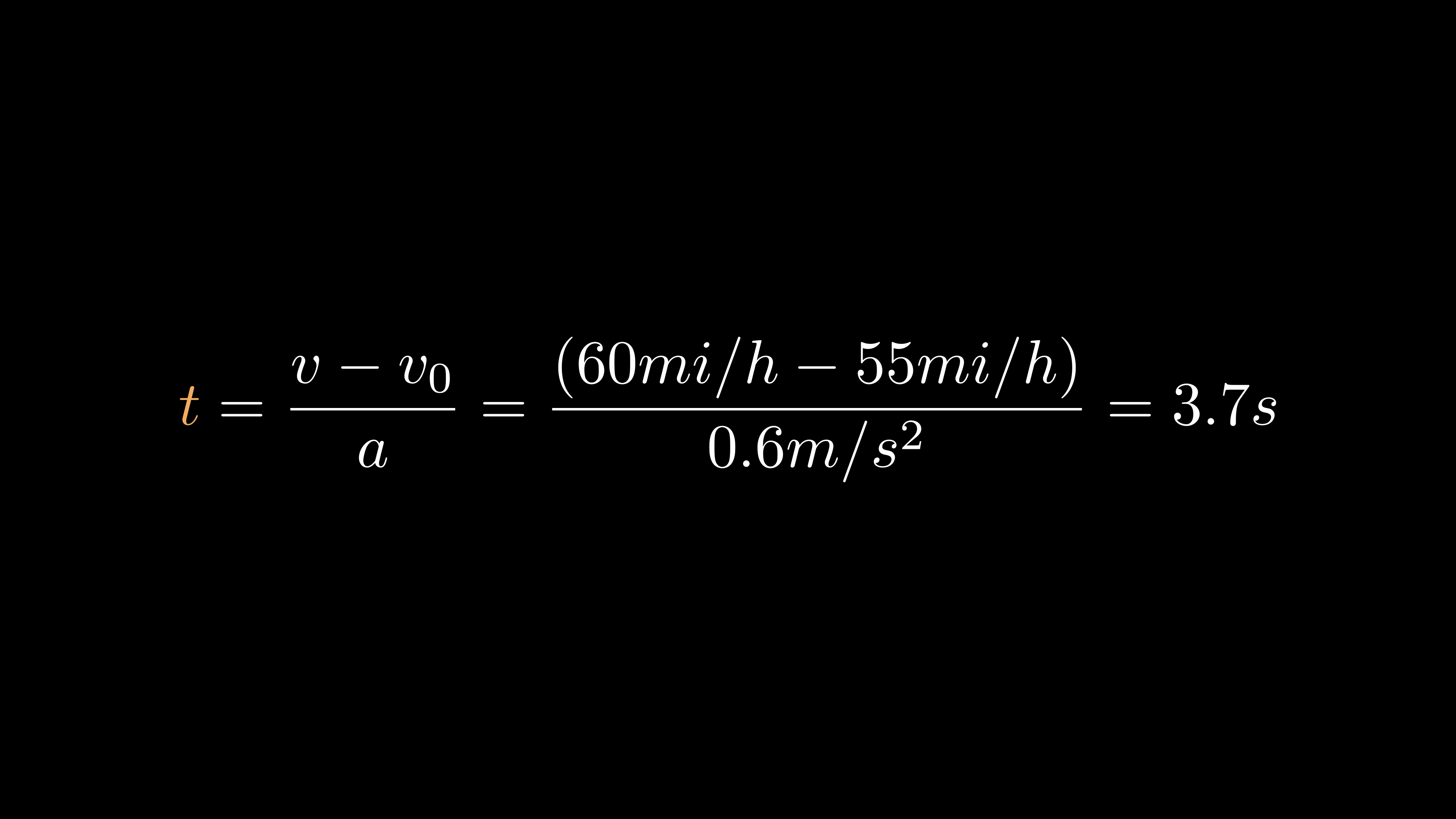
이렇게 식을 세워 풀어주면
시간 t를 쉽게 구할 수 있습니다.
1mi = 1.6km인 것은 다들 알고계시지요?
등가속도 운동의 개념에 대해 알고 있다면 어렵지 않게 풀 수 있는 문제다.
| 일반물리학 문제풀이(일차원 등가속도 운동)3 (0) | 2023.05.21 |
|---|---|
| 일반물리학 문제풀이(일차원 등가속도 운동)2 (0) | 2023.05.21 |
| 일반물리학 문제풀이(일차원 운동 - 속도)3 (0) | 2023.05.20 |
| 일반물리학 문제풀이(일차원 운동 - 속도)2 (0) | 2023.05.20 |
| 일반물리학 문제풀이(일차원 운동 - 속도) (0) | 2023.05.20 |
댓글 영역