
문제 상황을
이해하기 위한 애니메이션입니다.
치타가 정지상태에서
45m 거리를 달렸을 때
속력이 72km/h가 된 상황입니다.
그렇다면
이때 치타의 평균 가속도는
어떻게 구할 수 있을까요?

평균가속도는 속도의 변화를
걸린 시간으로 나눈 물리량입니다.
여기서 속도의 변화는
72km/h - 0으로 쉽게 구할 수 있습니다.
하지만 걸린 시간은
주어지지 않았기 때문에
주어진 값으로 찾아내야 합니다.
그렇다면 시간을 알아내 볼까요?

시간은 변위를 평균속도로
나눈 값으로 구할 수 있습니다.
여기서 속력은 델타 v가 아닌
평균속도의 값이 되어야합니다.
(저도 델타 v로 정의하는 오류를 범했습니다.)
그렇다면
평균속도는 어떻게 구할까요?

평균속도는
최종속도와 최초속도의 합을
2로 나누어주면 됩니다.
그렇다면
평균속도의 값은
얼마가 될까요?

평균속도는 36km/h가 됩니다.
그렇다면 걸린 시간을
구할 수 있게 됐네요.
시간의 값은

이렇게 4.5s가 되는 것을 알 수 있습니다.
그럼 평균가속도의 값을
구할 수 있게 되었습니다.
구해볼까요?

치타의 평균가속도는
4.4m/s²입니다.
그럼 이제 (b) 번 문제로
넘어가 보겠습니다.

(a) 번 문제를 통해
치타가 등가속도 운동을 하고 있다는
것을 알게 되었습니다.
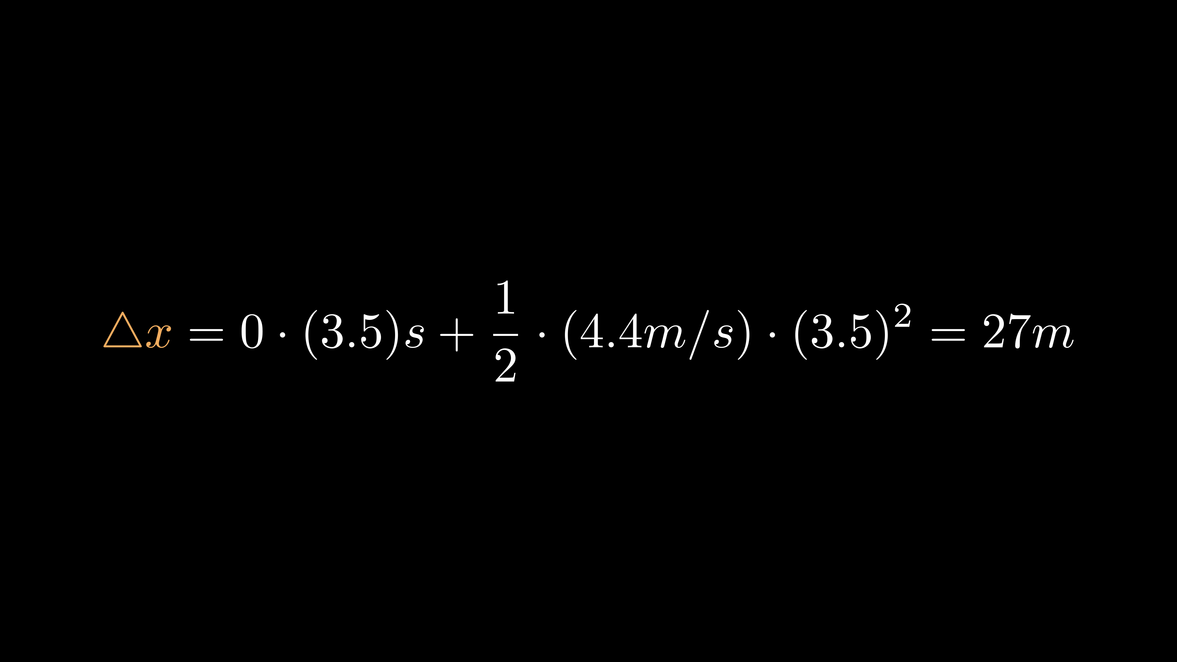
따라서 변위는 위에 있는 그림의 식으로 구할 수 있습니다.
그렇다면 시간, 가속도, 초기속도의
값을 알고 있으니 변위를 쉽게 구할 수 있게 됩니다.
따라서 변위는

3.5초에 치타가
이동한 거리는 27m가 됩니다.
(a), (b) 번의 정답을
정리해 드리겠습니다.

이 문제는 평균 가속도를 구하기 위해 평균 속도와 시간 그리고 변위 간의 관계를 알고 있어야 풀 수 있는 문제였다. 나는 시간을 구할 때 평균속도를 속도의 차로 착각해 답을 구하지 못했다. 평균속도와 속도의 차를 정확히 구분해서 개념을 정립해야 한다는 것을 배웠다. 또한 평균속도는 시작할 때의 속도와 끝날 때의 속도를 2로 나누어서 구할 수 있음을 배웠다.
| 일반물리학 문제풀이(일차원 운동 - 속도)3 (0) | 2023.05.20 |
|---|---|
| 일반물리학 문제풀이(일차원 운동 - 속도)2 (0) | 2023.05.20 |
| 일반물리학 문제풀이(에너지) (0) | 2023.05.18 |
| 일반물리학 문제풀이 (어림과 크기 정도 계산) (0) | 2023.05.16 |
| 일반물리학 문제풀이(벡터와 이차원 운동) (0) | 2023.05.07 |
댓글 영역