
이 문제는 야구선수가
슬라이딩을 할 때 손실된 운동에너지의 양과
슬라이딩한 거리를 구하는 문제다.
그래서 마찰력과 운동에너지가
서로 어떤 관계가 있는지
묻는 문제로 보인다.

먼저 주자가 2루에 슬라이딩
한다는 것은
운동에너지가 존재한다는 의미입니다.
질량을 가진 사람이 움직였기
때문입니다.
여기서 최종 속력이 0이 되었다는 것은
슬라이딩 하는 동안
마찰력에 의해
운동에너지의 손실이 발생해서
최종적으로 정지했다는 의미입니다.
따라서
마찰력에 의해
손실된 역학적 일의 총량은
위 식으로 구할 수 있다.
처음 속력이 4m/s
나중 속력이 0m/s
가 된다.
식에 값을 대입해보면

이렇게 계산할 수 있다.
그래서 결과는

마찰력에 의해
손실된 운동에너지는
-560J(줄)이 된다.
그렇다면 야구선수가
슬라이딩한 거리는 얼마일까?

힘과 힘이 작용하여
움직인 거리의 곱은 일이 됩니다.
여기서 힘을 마찰력으로 하고
일을 우리가 방금 구한
운동에너지로 하면
선수가 슬라이딩한 거리를
구할 수 있습니다.

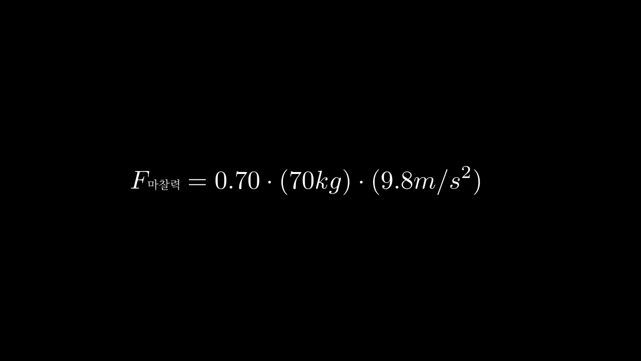
마찰력은 마찰계수와 수직항력의 곱으로
구할 수 있습니다.
마찰계수는 문제에서 주어졌고
수직항력 또한 선수의 질량을 알고 있으니
거기에 중력가속도만 곱해주면
쉽게 구할 수 있습니다.

이렇게 식에 값을 대입해서
계산해 주시면 됩니다.

이렇게 마찰력을 구했으니
이제 주자가 슬라이딩한
거리를 구해볼까요?

이렇게 값을 대입해주고
계산해주시면 됩니다.

그래서
야구선수가 슬라이딩한 거리는
1.2m가 됩니다.
여기서 거리는 스칼라이기 때문에
방향은 고려하지 않습니다.
따라서 음수는 빼고 1.2m의
크기만 가지는 양이 됩니다.

열심히 공부하자.
| 일반물리학 문제풀이(일차원 운동 - 속도)2 (0) | 2023.05.20 |
|---|---|
| 일반물리학 문제풀이(일차원 운동 - 속도) (0) | 2023.05.20 |
| 일반물리학 문제풀이 (어림과 크기 정도 계산) (0) | 2023.05.16 |
| 일반물리학 문제풀이(벡터와 이차원 운동) (0) | 2023.05.07 |
| 일반물리학 문제풀이 (일차원 등가속도 운동) (0) | 2023.04.30 |
댓글 영역