
문제 상황을 아래 그림으로
조금 더 자세히 살펴보자

2.00μC 전하에 가해지는 힘은
x축으로 0.5m 거리에 있는 음전하와
직선거리로 0.5m 거리에 있는 양전하로
인한 정전기력이다.
전기력은 중첩되기 때문에
각 힘의 벡터합으로
2.00μC 전하에 가해지는 전기력의 크기와
방향을 구할 수 있다.
그렇다면 각 힘의 x, y 성분을
구해보자

먼저 힘의 x성분은 위 이미지와 같다.
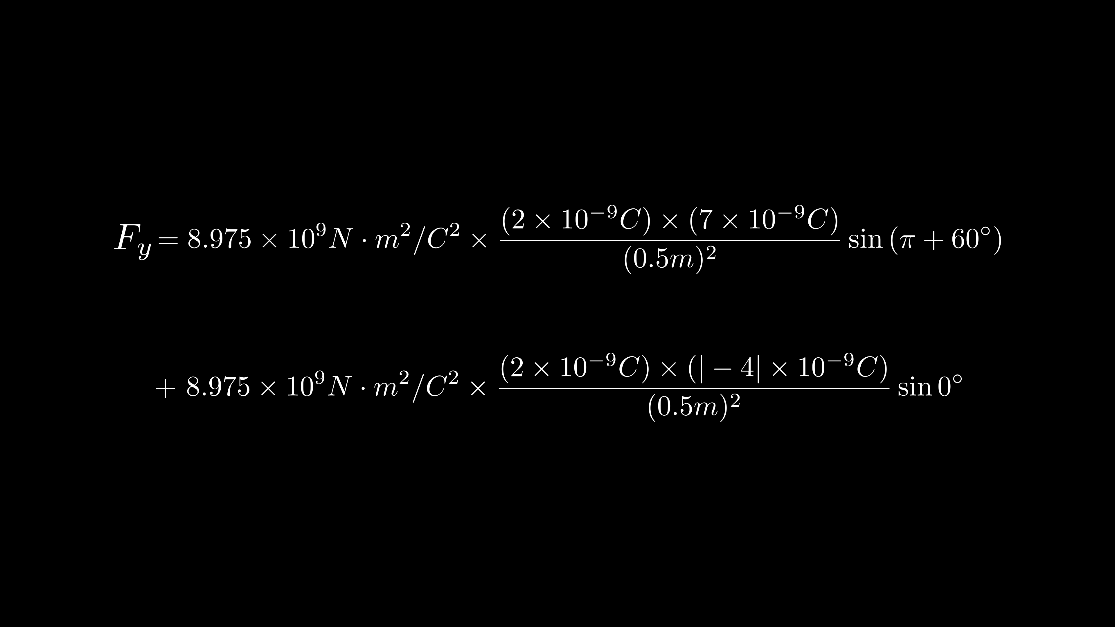
그렇다면 힘의 y성분은 아래 이미지와 같다.

그래서 힘의 x성분과 y성분의 값은

이렇게 된다.
힘의 x성분과 y성분을 알았으니
이제 힘의 크기와 방향을 구할 수 있게 되었다.
힘의 크기와 방향은 아래와 같이 구할 수 있다.

이 식에 우리가 구한 힘의 x성분과 y성분을
대입해서 계산해주면 아래와 같다.

역시나 중첩의 원리를 이용한 문제다. 개념을 어느정도 알고 푸니 나름의 재미가 있었다.
| 일반물리학 문제풀이(전기장) (0) | 2023.12.17 | 
|---|---|
| 일반물리학 문제풀이 (쿨롱의 법칙) -5 (0) | 2023.11.30 | 
| 일반물리학 문제풀이(쿨롱의 법칙) -3 (0) | 2023.11.26 | 
| 일반물리학 문제풀이(쿨롱의 법칙) - 2 (0) | 2023.11.16 | 
| 일반물리학 문제풀이 (전기력과 전기장) (0) | 2023.11.12 | 
댓글 영역